Statistical laws of stick-slip friction at mesoscale

Friction is everywhere in daily life. Without friction, one cannot walk or grab things and cars cannot run. On the other hand, friction is sometimes undesirable as it dissipates energy into heat and causes wear that reduces the lifetime of machines.

Published in Physics

Statistical laws of stick-slip friction at mesoscale
Like

Share this post

Choose a social network to share with, or copy the URL to share elsewhere

This is a representation of how your post may appear on social media. The actual post will vary between social networks

Friction is ubiquitous, it is Sticky but can also Slip away fast

Friction between two surfaces in contact has been known to mankind since the ancient times and often regarded as a nuisance that opposes the desired directed motion. One of the major tasks for practical purposes is to characterize friction and hence their mitigation. The properties or cause of friction has been investigated and characterized macroscopically by various eminent thinkers and scientists such as Aristotle, da Vinci, Amontons, Coulomb and Euler. Friction occurs when the asperities or protrusions on the two surfaces come into real contact, forming many individual microcontacts. The frictional force is the total force needed to overcome all the bonds at the contact interface. In recent decades, the focus is to understand the physical mechanisms behind friction, in particular in the microscopic or atomic scale in terms of molecular interactions[1,2]. At sufficiently good resolution of force and spatio-temporal scales, the frictional effects between two dry surfaces often manifest as the stick-slip phenomena. Stick-slip is a common phenomenon both in nature (such as earth-quakes[3,4]) and in many engineering applications. It is characterized by intermittent bursts of irregular signals of different amplitudes, duration and separations, known as avalanches, that result from the spontaneous depinning of mechanical contacts or local rearrangement of material bonds[3]. A universal feature of stick-slip events is their broad range of slip sizes, manifest as a power-law distribution of many orders of magnitude. Due to the complexity of surface topology and the diverse material parameters involved, our fundamental understanding of the seeming stochastic stick-slip friction is rather limited. It remains unclear whether the power-law distribution of slip sizes is due to the self-organized criticality of stick-slip dynamics, and how the spatial and temporal avalanche scales on the surface roughness and other relevant system parameters.

Stick-slips revealed by probing a rough surface with an AFM hanging-beam

Friction between two rough solid surfaces often involves local stick-slip events occurring at different locations of the contact interface. If the apparent contact area is large, multiple local slips may take place simultaneously here and the total frictional force is a sum of the pinning forces imposed by many asperities on the interface. Using the hanging-beam Atomic-Force microscope(AFM), the experimental group in the Physics department of Hong Kong University of science and Technology, leaded by Prof. Penger Tong, recently developed a versatile experimental framework at the mesoscale (see Fig. 1) that is small enough to resolve individual slip events but is also large enough to examine a broad range of slip sizes in a well-characterized disorder landscape with a single-slip resolution.

Fig. 1. Experimental setup for the stick-slip friction. (Taken from [5]). (a) A sketch of the hanging-beam AFM for the measurement of friction between the end surface of the scanning probe and the substrate. (b) An SEM image showing the side and end (inset) views of a quasi-1D scanning probe. (c) An SEM image showing the side and end (inset) views of a 2D scanning probe. The end-view SEM image reveals that the thin cantilever beam is embedded in the middle of the end portion of the scanning probe. (d) An AFM topographical image of the ultra-fine sandpaper surface with a nominal grain size 100 nm. The vertical grey scale indicates the surface height variations. The scale bar in (b) and (c) is 20 μm and that in (d) is 2 μm.

In this experimental system, one of the surfaces is made up of a rectangular cantilever beam glued onto the front end of a horizontal AFM cantilever with the normal direction of the beam plane in parallel with the AFM scanning direction (see Fig. 1). The free end of the hanging beam is attached with a drop of UV-cured glue mixed with glass nanoparticles. The end surface of the scanning probe is tailored by a focused ion-beam so that it has two specific shapes and dimensions: a quasi-1D probe with an aspect ratio 11:1 and another is a square-shape 2D probe. The substrate surface in the experiment is an ultra-fine silicon carbide sandpaper having an average grain size 100 nm(see the electron micrograph in Fig. 1d). When the scanning probe is placed against the sandpaper under a normal load and slides laterally at a low speed, the frictional force between the two contact surfaces is monitored as a function of the scan displacement of the probe. At an intermediate load, the force shows sawtooth-like fluctuations with a slow linear accumulation of force (stick) followed by a sharp force release (slip), which is characteristic of the stick-slip motion, as shown in Fig. 2.

Fig.2. Typical measured frictional forces showing stick-slip events. The measurement is made with a 2D probe pulled at scanning speed of 100 nm/s under a normal load of 600 nN.

Statistical Laws emerged from the seemingly chaotic stick-slips

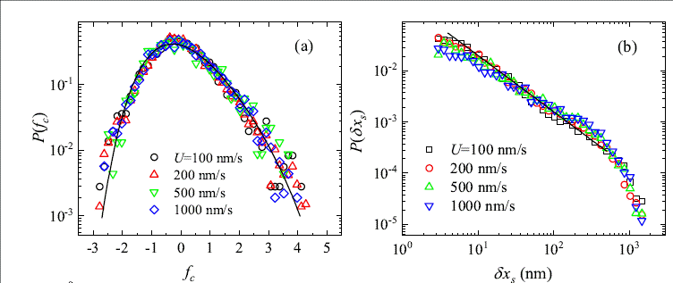
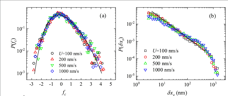
The above experimental system developed by Caishan Yan, enables us to resolve frictional force fluctuations generated by individual slip events, producing huge amount of high-quality stick-slip events to reveal the statistical laws of stick-slip friction. Together with the collaboration with the theoretical physicists at National Central University, we were able to provide a detail statistical description of stick-slip friction for solid interfaces. For instance, (see Fig. 3) the maximal force needed to trigger the local slips obeys the generalized extreme value distribution very well whereas the slip lengths are well-characterized by a power-law distribution with the power-law exponent explained.

Fig. 3. Measured probability distribution functions of the (a) normalized maximal force fc and (b) slip length δxs for different scanning speeds U, using the quasi-1D probe. (Taken from [5]).

Furthermore, the stick-slip motion of the scanning probe can be envisioned as a result of its center-of-mass moving in a random pinning force field described by an under-damped spring-block model subjected to a Brownian-correlated pinning force field (see Fig.4). It is demonstrated in the paper that the model captures the essential physics of the stick-slip friction at mesoscale, providing a long-sought physical mechanism for the avalanche dynamics in stick-slip friction. These results reveal that seemingly chaotic stick-slip friction at mesoscale obeys the statistical laws that are often associated with the avalanche dynamics at a critical state. 

Fig. 4. Left: Schematic picture of the spring-block model for the center-of-mass moving over a rough surface. Right: Equation for the under-damped spring block model. m is the effective mass of the scanning probe γ is the damping coefficient. The elastic pulling force with k0 being the static spring constant. The pulling force is exerted by the cantilever and hanging beam moving at a constant speed U. The last term is the asperity-induced random pinning force field, Fi , which is Brownian correlated.

For more details,  please read our paper. 

References

  1. Heslot, F., Baumberger, T., Perrin, B., Caroli, B. & Caroli, C. Creep, stick-slip, and dry-friction dynamics. Phys. Rev. E 49, 4973 (1994).
  2. Socoliuc, A., Bennewitz, R., Gnecco, E. & Meyer, E. Transition from stick-slip to continuous sliding in atomic friction: entering a new regime of ultra low friction. Phys. Rev. Lett. 92, 13 (2004).
  3. Brace, W. F. & Byerlee, J. D. Stick-slip as a mechanism for earthquakes. Science 153, 3739 (1966).
  4. Nandan, S., Ram, S. K., Ouillon, G. & Sornette, D. Is seismicity operating at a critical point? Phys. Rev. Lett. 126, 128501 (2021).
  5. Caishan Yan, Hsuan-Yi Chen, Pik-Yin Lai and Penger Tong, Statistical laws of stick-slip friction at mesoscale, Nat. Comm. 14:6221 (2023).

This work was supported  by Research Grants Council  of Hong Kong, National Science and Technology Council of Taiwan and also by National Center for Theoretical Sciences of Taiwan.

Please sign in or register for FREE

If you are a registered user on Research Communities by Springer Nature, please sign in

Follow the Topic

Physics and Astronomy
Physical Sciences > Physics and Astronomy

Related Collections

With Collections, you can get published faster and increase your visibility.

Women's Health

A selection of recent articles that highlight issues relevant to the treatment of neurological and psychiatric disorders in women.

Publishing Model: Hybrid

Deadline: Ongoing

Biosensing

With this cross-journal Collection, the editors of Communications Biology, Nature Biomedical Engineering, Nature Sensors, Nature Communications, and Scientific Reports welcome the submission of primary research Articles focusing on the development of engineered biosensing devices with the potential to be applied in biomedical research and in the management of disease conditions.

Publishing Model: Hybrid

Deadline: Jun 30, 2026