Stronger together

Assembly of heptazine units into a 2D structure of graphitic carbon nitride leads to the evolution of properties that are not observed in molecular sensitizers. Triangular pockets on the edge facets of nanocrystals serve as active sites in the photocatalytic C–H activation of organic compounds.

Published in Chemistry

Stronger together
Like

Share this post

Choose a social network to share with, or copy the URL to share elsewhere

This is a representation of how your post may appear on social media. The actual post will vary between social networks

When excited with light many organic compounds, such as Eosin Y, benzophenone, as well as metal oxoclusters, such as decatungstate, abstract hydrogen atom from organic molecules. Such a feature is employed in organic synthesis, specifically to generate C-, N-, and O-centered radicals.

Abstraction of a hydrogen atom may be considered as the transfer of an electron and a proton – it is oxidation and deprotonation of a molecule. Therefore, strong basicity and highly positive reduction potential of the sensitizer's electronically excited state provide strong driving force for hydrogen atom transfer.

The basicity of nitrogen-rich heterocycles decreases in the series: pyridine > pyrimidine > 1,3,5-triazine. In other words, the more sp2-hybridized nitrogen atoms added to the structure, the weaker base the heterocycle is. From this standpoint, heptazine, having seven (sp2)N atoms, must be a weak base and, as such, should not be a suitable photocatalyst for reactions involving hydrogen atom transfer. But is this the case for heptazine-based graphitic carbon nitrides? We addressed this question in our recent article in Angewandte Chemie.

Figure 1. pKa values of heterocycles conjugate acids.

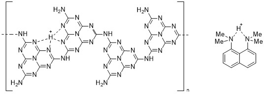
Graphitic carbon nitrides are a class of 2D materials in which heptazine units are covalently linked to form layers, while these layers are assembled via weak van der Waals forces into a graphite-like structure. Such assembly of heptazine units into a 2D material has a profound impact on the material's basicity compared to single heptazine units. Similar to the well-known proton sponge, two adjacent heptazine units chelate a proton. Therefore, the basicity of mesoporous graphitic carbon nitride (mpg-CN) is higher than it would be for molecular heptazine derivatives. mpg-CN has plenty of protonation sites – several (sp2)N atoms, NH- and NH2-groups. We measured 'average' pKa value of protonated mpg-CN to be approximately 6.6. This means that mpg-CN holds protons stronger compared to, for example, pyridine.

Figure 2. Proton ‘trapped’ in mpg-CN (left) and in proton sponge (right).

On the other hand, extended π-conjugated structure allows for stronger stabilization of the electron added upon reductive quenching of the mpg-CN excited state.

These two factors allow for mpg-CN to abstract an electron and a proton, i.e., hydrogen atom, from substrates upon excitation with light. In the recent work, we applied this feature of mpg-CN to oxygenate endo-CH2-groups in oxazolidinones.

Figure 3. Photocatalytic conversion of oxazolidinones into oxazolidinediones.

Our work outlines general guidelines for designing semiconductors that would be optimal for employing them as photocatalysts to activate organic molecules via homolytic cleavage of X–H bonds.

Please sign in or register for FREE

If you are a registered user on Research Communities by Springer Nature, please sign in