The Solar Prominence/Filament Paradox: The mRTi or perhaps something else?
Published in Astronomy
With the occasional help of a solar eclipse, solar 'prominences' are frequently observed throughout the solar atmosphere with the earliest reports going as far back as Novgorod 1185. Following the invention of the spectroscope and spectroheliograph in 1868 and 1889, respectively, observations of the solar disk noted the presence of elongated, dark ‘filaments’ which were quickly identified as the same phenomenon as prominences just viewed from a different angle. As condensations ~ 100 times cooler and denser than the ambient coronal plasma, their sustained presence indicates they are supported by concave-up magnetic topologies and the associated Lorentz force. Hence, prominences and filaments form and die, occasionally in turn populating the core of a coronal mass ejection, on day-to-month timescales that are governed, most generally, by the evolution of this solar magnetic field. As such, a relatively sparse set of classifications: Active, Intermediate, and Quiescent prominences are frequently adopted to characterise them in order of decreasing ambient magnetic field strength/complexity. However, one needs only observe the small-scale plasma motions ubiquitous to all classes of prominence/filament to conclude such labels are, in fact, misnomers.
The Solar Prominence/Filament Paradox
The recent decades have detected a zoo of dynamics present within prominences and filaments, which keep observers, theoreticians, and modellers puzzled the world over. One particular conundrum that so far eluded a concrete explanation arose when advanced spectro-polarimetric diagnostics of prominence and filament plasma confirmed the orientation of their associated magnetic field to be ubiquitously horizontal/parallel to the solar surface. In contrast, for those prominences typically classified as 'Quiescent', vertically-aligned internal structuring and dynamics are considered their defining property, present in almost any corresponding static image or movie sequence obtained from observations. Below is a wonderful example of this, captured even using enthusiast-grade equipment.
The assumed conductivity of the million degree Kelvin solar corona means it is considered to adhere on the large scale to the single-fluid, magnetohydrodynamic representation, specifically the associated frozen-in condition that is expressed mathematically by the ideal induction equation. Hence, plasma and magnetic field should evolve together, regardless of which is responsible for the specific evolution as commonly evaluated using the ratio plasma-β. The far cooler temperatures present within prominences opens pathways for ion-neutral interactions but the latest research limits this influence to scales far below our current instrumental resolutions (< 1 km) and so these cannot be the primary mechanism responsible for what we observe. For a typical coronal plasma evolving under β < 1 conditions, the aforementioned vertical internal structuring and a purely horizontal magnetic field orientation gives rise to a clear contradiction. This is then further compounded by the apparent horizontal, threaded appearance of solar filaments that are, by definition, just a different projection of the identical phenomenon. And so the solar filament/prominence paradox was born.
The Magnetic Rayleigh-Taylor Instability...
Over the course of the last few decades a variety of somewhat-idealised theoretical models have been proposed, but one stands out due to the attractiveness of its ubiquitous validity throughout astrophysical plasmas: the magnetic Rayleigh-Taylor instability (mRTi). The relative simplicity of the needed triggering conditions - a reservoir of dense plasma stratified above comparably less-dense plasma - both approximates well the visual representation of solar prominences, and enables many detailed analytical and numerical explorations with current computational capabilities. The mRTi is however, by construction, a surface instability that grows on the well-defined boundary imposed within the plane-parallel initial condition - a configuration that will almost certainly never naturally arise within the highly dynamic solar corona. Such a statement is further motivated by our recent extreme-resolution 2.5D simulations of the formation of fragmented coronal condensations via the thermal instability through which no magneto-hydrostatic, plane-parallel surface condition was ever recovered. So can we really continue to invoke the mRTi as the physical process behind the paradox?
As part of the ERC advanced PROMINENT project, our aim was to explore this question using a generalised, self-consistent ab-initio simulation setup. At KU Leuven's Centre for mathematical Plasma Astrophysics, we (Dr. Jack Jenkins and Prof. Dr. Rony Keppens) developed a fully 3D model that included the formation and evolution of a solar flux rope + prominence/filament structure. The resulting distribution and evolution of plasma parameters within the simulation domain, such as density, temperature, etc. were then converted to observational proxies so as to represent what would be theoretically observed by either AIA on board SDO, or the GONG network.
To fully appreciate the above animation, we draw attention to the atmospheric property of 'optical thickness' which describes a key concept within radiative transfer theory. For 'optically-thin' radiation, such as the EUV 171 angstrom filter observed by AIA onboard SDO, one may assume that such light emitted within a given volume travels less than a single mean-free path before reaching an observer. Under such conditions, a simple integration along any given LOS is sufficient as each volume of space contributes only locally to the intensity of light recorded along each such LOS. Nevertheless, the apparent appearance of a structure remains intricately tied to the specific LOS chosen and we demonstrate this when observing solar prominences and filaments, in the above animation. The three columns here look distinctly different yet are all views on the identical simulation.
![]() |
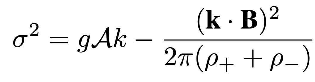
The 'Aligned view' from the final snapshot of the above animation is reproduced here on the left. For this view, the LOS is set to run parallel to the orientation of the magnetic field that threads the lowest-most condensations which appear here with the characteristic vertically-aligned internal structure and dynamics - commonly termed 'falling fingers'. The reason for setting this criteria for viewing angle lies in the growth rate σ2 equation for the mRTi,
|
since for k⋅B = 0 we have a perturbation that does not bend field lines and hence is energetically favoured. When we quantify the growth rate for such a disturbance, the growth rate of the instability reduces to the hydrodynamic form. As the second term ordinarily acts to decrease σ2 , its negation should lead to a far faster development of fine structure. Our specific viewing angle then indeed shows clearly interchanging magnetic field.
During the nonlinear stages of the (m)RTi, one often encounters 'roll-ups' as a consequence of baroclinicity deposition, that is, the enhancement of local vorticity at the bounding edges of the 'falling fingers'. We explored this by considering a field-perpendicular slice through the main `falling finger' and decomposing the material derivative of the vorticity quantity (Dω/Dt, ω = ∇ × v) into its different magnetohydrodynamic components, whereby we found the hydrodynamic baroclinicity source term to contribute the largest by magnitude to the change in local vorticity with time. Recalling that the development of the vertically-oriented fine structure is clear for a LOS satisfying k⋅B ≈ 0, wherefore the apparent growth of the mRTi is ≈ driven by hydrodynamic process, we can conclude that the observed evolution is in perfect agreement with our and previous references to the nonlinear phase of the mRTi.
... or perhaps something else?
But what about the preceding linear phase; what drives the initial development of these structures that we observe so frequently within prominences? The mRTi is one of a family of physical processes closely related through the linear MHD spectrum as forms of general 'gravitational interchange' instability - in other words, buoyancy within a magnetic domain. The key property herein being that magnetic field lines do not like to bend but are quite happy to slip past one another in a shearless configuration. This can be realised in either direction in relation to gravity (cf. the parker instability, one of the other members of this family that facilitates the emergence of flux through the solar photosphere) . Such a description represents a more general form of evolution that drops the requirement for the well-defined, inverted density interface characteristic of the mRTi. We find in the supplementary material that accompanies the published article, that the related linear stability metrics are in close agreement with this generalisation. Further extending the analysis to include the local magnetic shear angle, a property required to initially suspend prominence plasma but subsequently hinders the development of the mRTi, details how the falling finger remains nonetheless gravitationally unstable.
This work was made possible by the ERC advanced PROMINENT project, and the tier-1 resources available at the Vlaams Supercomputer Centrum.
Follow the Topic
-
Nature Astronomy
This journal welcomes research across astronomy, astrophysics and planetary science, with the aim of fostering closer interaction between the researchers in each of these areas.
Related Collections
With Collections, you can get published faster and increase your visibility.
Progress towards the Sustainable Development Goals
Publishing Model: Hybrid
Deadline: Ongoing


Please sign in or register for FREE
If you are a registered user on Research Communities by Springer Nature, please sign in