Fundamentals of low-resistive 2D-semiconductor metal contacts: an ab-initio NEGF study

Published in Materials

Like

Share this post

Choose a social network to share with, or copy the URL to share elsewhere

This is a representation of how your post may appear on social media. The actual post will vary between social networks

Two-dimensional (2D) materials are predicted to be excellent materials for next-generation electronic devices. Semiconducting 2D materials are especially interesting for channel materials in nanoscale transistors. The problem with transistors when going to the nanoscale is that at these small scales the gate has insufficient control of channel region to properly turn off the device. In 2D-material based devices, the channel is so thin that every part of the channel is very close to the gate, increasing the control of the gate again. 

2D materials have some problems of their own, however. Most notably is the fact that it becomes difficult to get the current inside the device, i.e., the metal contacts contacting the device to its surroundings are characterized by a large contact resistance. This is both the case for top contacts, where the metal is deposited on top of the 2D material, and side contacts, where the 2D material is covalently bonded with metal at its boundary. 

For top contacts, the reason typically mentioned in the literature is the fact that the 2D material does not want to interact strongly with materials on top and below of it. The material only wants to bond with things in the 2D plane and things on top or below are only interacted with through a weak Vander Waals interaction, i.e., the lack of covalent bonding gives rise to Vander Waals gap which the electrons must tunnel through. 

For side contacts, it is claimed that the low contact area gives rise to the large contact resistance. As the 2D material is atomically thin, this means that the contact area is also atomically thin.

In this work, we investigated whether these concerns are limiting or if low contact resistances are possible, provided the right material combination and production technique is found. We did this using ab initio simulation techniques. More specifically the non-equilibrium Green’s function formalism was used in combination with Density Functional Theory.

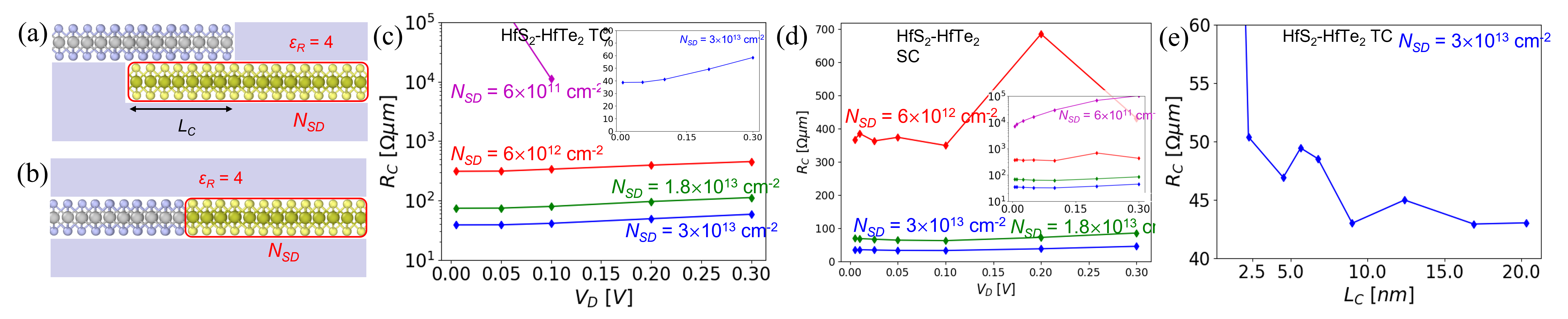
From what we found, low contact resistances can be achieved for both types of contacts, i.e., top and side contacts, as demonstrated in Fig. 1. The material used to demonstrate this was HfS2 in combination with the 2D metal HfTe2 for the metal contacts. This combination is characterized by a low Schottky barrier, 40 meV for top contacts and 100 meV for side contacts, a bit higher than for the top contacts due to Fermi level pinning. Our simulations show that the Vander Waals gap does not inherently impede the current for top contacts and that the limited surface area for side contacts does not necessarily need be a problem either. We even show that for top contacts, the current is mostly determined by edge injection, i.e., most of the current is injected from the metal into the semiconductor right at the edge where the metal stops. This means that the contact resistance for top contacts does not scale with the surface area, as long as there is an overlap region of a few nanometers in the direction of transport, i.e., even for the top contacts, the larger surface area is not necessarily used for injecting more carriers.

Figure 1. 2D-2D contact results with conventional doping. (a) and (b) show the structure for top and side contacts, respectively. (c) and (d) show their contact resistance values as a function of the bias and the doping concentration. (e) shows the influence of the top contact overlap length.

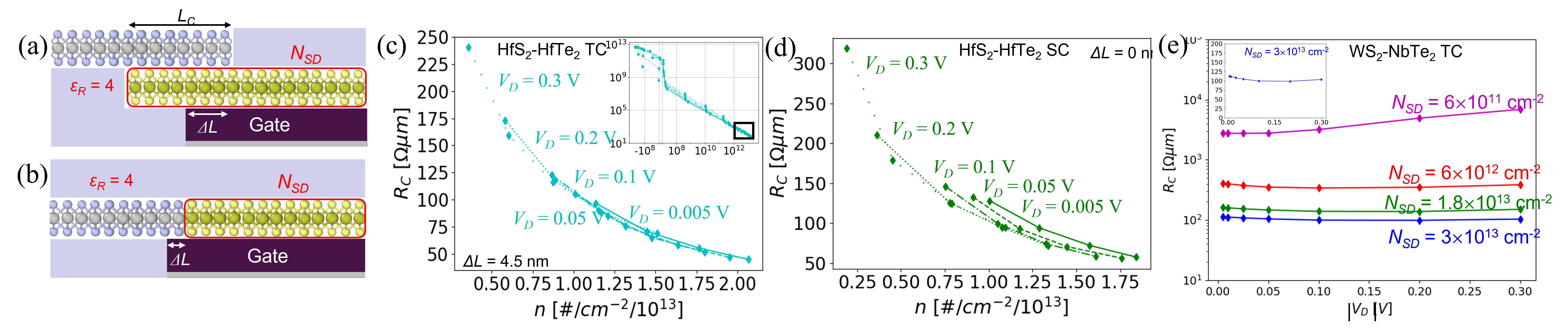
These simulations assume the presence of a sufficiently high carrier concentration in the semiconductor, either by substitutional donor/acceptor atoms or by the use of a doping gate, attracting carriers electrostatically, similar to the channel gate. Adequate chemical doping is another one of the current research questions concerning 2D materials, but our simulations show that a doping gate can provide the required carrier concentration to achieve low contact resistances, as seen in Fig. 2. Surprisingly, the presence of a doping gate in ON state lowers the contact resistance even further than what one would expect of the resulting carrier concentration alone. An electrostatic doping gate thus has a direct effect of lowering the contact resistance.

 

Figure 2. 2D-2D contact results dynamical doping and WS2-NbS2 results. (a) and (b) show the structure for top and side contacts, respectively. (c) and (d) show their contact resistance values and carrier concentrations as a function of the doping gate bias. (e) shows the results for the WS2-NbS2 top contacts.

We therefore predict that the high contact resistances found in experiments are thus the result of defects, e.g., no proper contact between metal and semiconductor, or non-ideal material choices, e.g., metal-semiconductor interfaces characterized by a large Schottky barrier. 

The latter is not surprising as it can be difficult to find metal-semiconductor combinations with a low Schottky barrier. We tried to find low Schottky barrier metals for a more experimentally mature semiconducting 2D material, namely WS2, but all 2D metals gave rise to very high n-type Schottky barrier heights and all 3D metals that we tried were still several 100 meV. 

One 2D metal with a very low p-type Schottky barrier was found, namely NbS2, but the contact resistance was still larger than the HfS2-HfTe2 case due to the cold metal behavior of NbS2, as seen in Fig. 2(e). This implies that the number of states in NbS2 is limited depending on the energy and momentum. Energy and momentum conservation can therefore limit the transmission of carriers through the contact depending on the availability of states in the semiconductor. This is an intricate phenomenon which is difficult to capture from a few numeric values such as Schottky barrier, Vander Waals gap size and even the contact resistance itself. Indeed, the contacts in a full device can behave differently than a single contact and emphasizes the need for full device simulations when possible.

For n-type a few 3D metals with intermediate Schottky barrier heights were found for WS2, which can give rise to low contact resistances provided a sufficiently high doping concentration can be achieved, as seen in Fig. 3. The 3D metals of interest, however, were alloys of which the behavior depends a lot on the surface orientation of the metal surface in contact with the semiconductor. This surface orientation is not always easily controlled experimentally.

 

Figure 3. 2D-3D contact results. (a) shows the interaction strength and predicted Schottky barrier height from DFT. (b) and (c) show the contact resistance for 2 Bi alloys as a function of the bias and the doping concentration.

In summary, it was found that we do not see any inherent limitations to achieving low contact resistances for 2D semiconductors in next-generation transistors, but the search for adequate metals to achieve such contacts is not yet over.

Please sign in or register for FREE

If you are a registered user on Research Communities by Springer Nature, please sign in

Follow the Topic

Materials Science
Physical Sciences > Materials Science

Related Collections

With Collections, you can get published faster and increase your visibility.

Functionalization and Reactivity of 2D Materials

This Collection aims to harness recent advances in the chemical and physical modification of 2D materials, highlighting how these modifications can enhance their performance across various applications, including nanoelectronics, energy storage, and environmental sustainability.

Publishing Model: Open Access

Deadline: Oct 06, 2026

2D Materials for Integrated Electronics

This Collection invites research on 2D materials for integrated electronics, including devices, fabrication methods, and novel applications.

Publishing Model: Open Access

Deadline: Jul 18, 2026