How does ferroelasticity affect the efficiency of metal halide Perovskites?

Ferroelasticity effect reflects the strain-stress retention of a crystal. Now, it provides new insights into the correlation between crystallographic structure and charge carrier dynamics of metal halide Perovskites.

Published in Materials

How does ferroelasticity affect the efficiency of metal halide Perovskites?
Like

Share this post

Choose a social network to share with, or copy the URL to share elsewhere

This is a representation of how your post may appear on social media. The actual post will vary between social networks

             In ferroics, ferroelasticity can be considered as a mechanical equivalent of ferroelectricity. The latter is a phenomenon in which the crystal shows spontaneous polarization, it features the phenomenon of polarization - electric field retention. Ferroelasticity is a phenomenon in which the crystal shows spontaneous strain. Ferroelastic crystal has two or more stable states (crystallographic phases or orientations) in crystallographic structure and can be reversibly switched between states by the application of mechanical stress1.

            In such a crystal, one can observe a highly non-linear elastic response, as the Hooke’s law is no longer valid and strain - stress relationship shows hysteresis behavior. When stress is applied to a ferroelastic material, a phase change will occur in the material from one phase to an equally stable phase, either of different crystal structure (e.g., cubic to tetragonal), or of different orientation (a 'twin' phase). This stress-induced phase change results in a spontaneous strain in the material.

            Metal halide perovskite (MHP) materials show low fraction of non-radiative recombination, this established the foundation of its photovoltaic applications since the ideal solar cell operates at its radiative limits. A theory proposed is due to the ferroelectricity, i.e. the lattice polarization facilitates charge separation and the non-radiative recombination is thereafter suppressed2. However, due to the remarkable positional freedom of organic cations and halide ions, the detailed correlation between crystallographic structure and lattice polarization in MHPs is elusive.

            We noticed that the phase transition point of methylammonium lead halides (MAPI, the main material we studied in this paper) is just slightly lower than the annealing temperature for its crystallization, hence it is anticipated that a spontaneous phase transition should be associated with the cooling process. So, we studied the dependence of crystallographic structure (Fig.1) on the cooling process. Our study on the abnormal crystallographic evolution starts from there.

Fig.1 | Schematic drawing of the crystallographic structure of tetragonal MAPI.

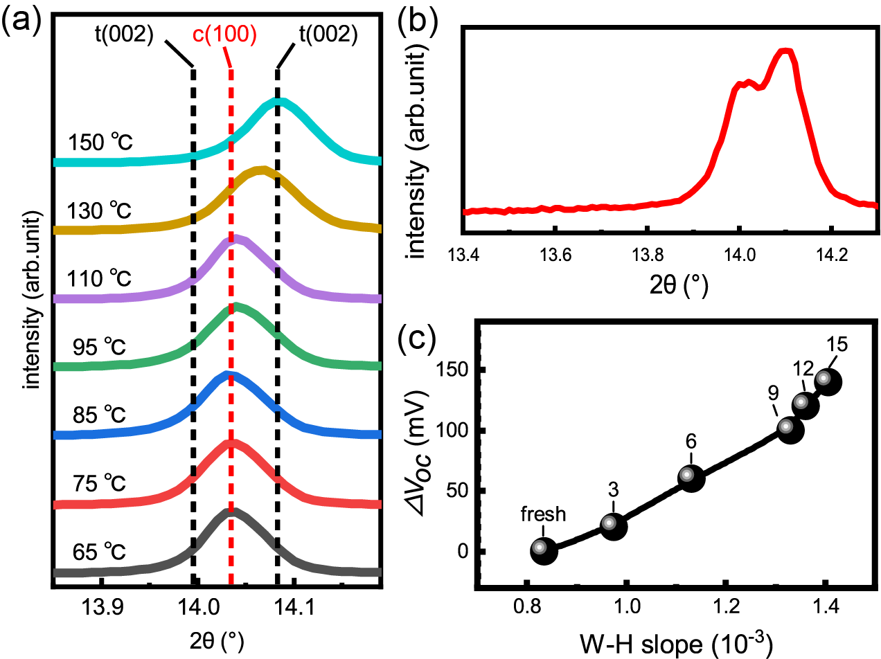
            When we saw the temperature dependence of the X-ray diffraction peak of MAPI popping from the measurement, it seemed like a trivial case, as the orientation change of the tetragonal phase (room temperature phase) is common. However, when we further reproduce the data, it is found that the peak variation  (from 14.05° to 14.09°, Fig.2a) is always a little bit shy to attribute to the crystallographic texture of tetragonal phase (from 14.01° to 14.09°) . 

            Another observation caught our attention while we were trying to incorporate MAPI into solar cells, it was found that the crystallographic phase of the 14.05° sample changed completely after the coverage of interlayers (Fig.2b). The main diffraction peak split into twin-peaks, this is of interest, it indicates that the existence of domains with different orientations. It is at this point, we can fully understand the regularity of a crystallographic evolution, that is the symmetry breakdown triggered by external stimuli may cause the formation of ferroelastic twin-domains.

Fig.2 | Crystallographic evolution of MAPI. (a) XRD patterns of MAPI annealed at various temperatures. (b) XRD pattern of MAPI\PMMA stack. (c) The enhancement of open-circuit voltage versus W-H slope, labels indicates the activation cycles.

            The twin-domains had shown abnormal photovoltaic behavior. Under an external electric field, it was found that the strain level of twin-domains was irreversibly elevated and the non-radiative recombination was progressively suppressed(Fig.2c). From that moment, we realized that something unusual had happened.

            It is well-known that lattice polarization is closely related to the lattice structure. However, it took us quite a while trying to figure out what happened behind the observation. It was not clear until a discussion with a colleague, Prof. Jianfeng Wang (a co-author of the paper), he pointed out a resemblance between our data and his earlier theoretical studies on strain-induced lattice polarizations. We began to realize the connection between the elevated strain level under the electric field and the suppression of non-radiative recombination. With the simulation result, we understood that a structural phase transition from the non-polar phase to the polar phase had occurred after the strain reached a critical level, and the material entered a ferroelectric state. The presence of such an anomalous ferroelectric response was verified in other independent studies, demonstrated its reliability3,4.

            Our work presents a direct correlation between crystallographic evolution and non-radiative recombination. Despite the countless experimental efforts on exploiting the photoelectronic performance of MHPs, the understanding of the carrier dynamics of MHPs is very limited, and the origin of the low non-radiative recombination remains unknown. One major obstacle is the flexible nature of the lattice, so that is challenging to definitely characterize, let alone accurately manipulate the lattice structure of MHPs. Our work utilizes the ferroelastic nature of the materials, the precise manipulation of the ferroelastic stress by electric field enabled a reliable approach for establishing the correlation between photoelectronic properties and the mercury crystallographic structure of the MHPs. This result provides valuable insight into the charge carrier dynamics of MHPs. It indicates that the low non-radiative recombination of MHP is closely correlated to the polar - nonpolar switching of the material.

            There are certainly many questions to be resolved before we can have a holistic view of MHP photoferroics. What is the nature of the charge carrier dynamics in MHP photoferroics? If the suppression of non-radiative recombination is related to the utilization of hot charge carriers, how high the theoretical open-circuit voltage is? With the power of the ferroelastic stress in manipulating the crystallographic structure, we wish to resolve these interesting problems further.

            The author acknowledges Prof. Thomas Kirchartz for his inspiring guidance and generous help over the years. The author also acknowledges Prof.Xin Guo, Prof.Hongxian Han, Prof.Fengtao Fan, Prof. Jiewei Liu, and Prof. Sai Chen for their kind support and fruitful discussions.

 References:

1. Salje, E. K. H. Ferroelasticity. Contemporary Physics 41, 79-91, doi:10.1080/001075100181196 (2000).

2. Frost, J. M., Butler, K. T., Brivio, F., Hendon, C. H., van Schilfgaarde, M. & Walsh, A. Atomistic Origins of High-Performance in Hybrid Halide Perovskite Solar Cells. Nano Letters 14, 2584-2590, doi:10.1021/nl500390f (2014).

3. Sewvandi, G. A., Hu, D., Chen, C., Ma, H., Kusunose, T., Tanaka, Y., Nakanishi, S. & Feng, Q. Antiferroelectric-to-Ferroelectric Switching in CH3NH3PbI3 Perovskite and Its Potential Role in Effective Charge Separation in Perovskite Solar Cells. Physical Review Applied 6, 024007, doi:10.1103/PhysRevApplied.6.024007 (2016).

4. Warwick, A. R., Íñiguez, J., Haynes, P. D. & Bristowe, N. C. First-Principles Study of Ferroelastic Twins in Halide Perovskites. The Journal of Physical Chemistry Letters 10, 1416-1421, doi:10.1021/acs.jpclett.9b00202 (2019).

Please sign in or register for FREE

If you are a registered user on Research Communities by Springer Nature, please sign in

Follow the Topic

Materials Science
Physical Sciences > Materials Science

Related Collections

With Collections, you can get published faster and increase your visibility.

Women's Health

A selection of recent articles that highlight issues relevant to the treatment of neurological and psychiatric disorders in women.

Publishing Model: Hybrid

Deadline: Ongoing

Biosensing

With this cross-journal Collection, the editors of Communications Biology, Nature Biomedical Engineering, Nature Sensors, Nature Communications, and Scientific Reports welcome the submission of primary research Articles focusing on the development of engineered biosensing devices with the potential to be applied in biomedical research and in the management of disease conditions.

Publishing Model: Hybrid

Deadline: Jun 30, 2026