When bioplastics meet the sea: microbes, viruses and their effects
Published in Earth & Environment, Research Data, and Sustainability
Our work started from a weird episode. One day, I bought a polylactic acid (PLA) water bottle from a vending machine at the university and noticed that it looked suspiciously opaque. Curiously, I took it to the microbiology lab to examine its content under the microscope. To my surprise, the water contained a dense microbial culture. Was this due to poor storage conditions? Or anomalous contamination? A crucial question came to my mind: what happened in that PLA bottle? And what would happen if it ended up in the marine environment? The experiment published in Communications Earth & Environment started exactly from this observation.

Bioplastics as the “green” alternatives to plastics
Plastic pollution is one of today’s most urgent environmental challenges. Millions of tonnes enter the oceans every year, fragmenting into micro- and nano-particles that, as we now know, harm marine life, disrupt food webs and threaten human health. To reduce these impacts, bioplastics have been promoted as an alternative to common plastics, with global production rising rapidly. Among them, PLA is the most common. Derived from corn or sugarcane, PLA is widely used for disposable items. It is typically labelled 'biodegradable,' but in the ocean this does not necessarily mean it dissolves quickly or is harmless. That uncertainty motivated our work.
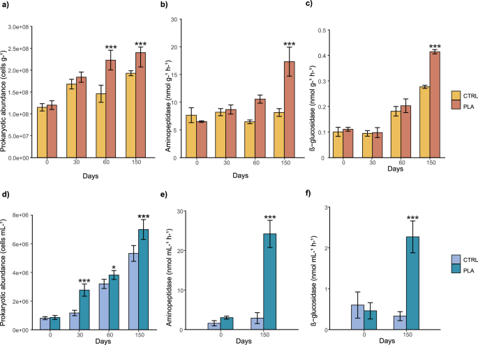
What if just a PLA cup ends up in the sea?
To test PLA’s impact, we set up an experiment: we filled aquaria with seawater and sediments and simulated what happens when a PLA cup is released into the Mediterranean Sea, and its fragments settle on the seabed. For five months, we monitored these systems, maintaining oxygen, salinity and temperature as in natural conditions. At the same time, we tracked PLA degradation, the behavior of microbes and viruses, and organic matter cycling.
PLA and the microbial–viral twist
PLA progressively lost its integrity and became coated with a dense microbial biofilm. This biofilm altered the surrounding marine microbiome. Marinobacter and Saccharospirillaceae were key bacteria in the degradation process of PLA-derived organic leachates. However, the most unexpected result was the viral response. In PLA-contaminated systems, viral replication rose rapidly, leading to higher mortality of infected microbes and the release of cellular debris, which was then reused by uninfected microbes. This viral–microbial cycle altered organic matter turnover and, in the long term, could influence food-web functioning.
A glimpse into a warmer future
We also tested what happens during marine heatwaves, which are expected to intensify with climate change. We exposed seawater to PLA leachates at 31 °C, a temperature already recorded in the Mediterranean during recent summers. The results were striking: viral replication tripled, microbial abundances rose, and the viral–microbial cycle intensified. We concluded that climate change can amplify the ecological consequences of PLA pollution.
A cascade of (almost) invisible shifts
Our findings challenge the assumption that bioplastics are inherently safe for the ocean. Previous studies showed their slow degradability in marine environments. Now we show that beyond its persistence, PLA can alter microbial and viral processes that underpin marine ecosystem functioning. Microbes and viruses are invisible to the naked eye, but they drive the cycling of carbon and nutrients and sustain marine food webs. Even invisible shifts can thus cause relevant effects across ecosystems.
Natural is not always safe
We are favorable to innovation in materials, but we need them to be truly eco-compatible and sustainable. Our study highlights the need to test bioplastics under real-world (in this case, marine) conditions. Bioplastics may reduce dependence on fossil fuels, yet some of them seem to be not a magic bullet for plastic pollution. Policymakers should strengthen waste management and ensure that plastic surrogates do not cause harmful effects if accidentally released into the environment, including the ocean. The present research changes our view on bioplastics. Composed of natural substances, they were promoted as a "green" alternative, but in the sea, they can reshape microbial communities, altering ecosystem processes. The sea reminds us that even natural materials can carry hidden consequences, which may turn into major challenges in the current era of global change. Now we know that this can also be the case with bioplastics.
Follow the Topic
-
Communications Earth & Environment
An open access journal from Nature Portfolio that publishes high-quality research, reviews and commentary in the Earth, environmental and planetary sciences.
What are SDG Topics?
An introduction to Sustainable Development Goals (SDGs) Topics and their role in highlighting sustainable development research.
Continue reading announcementRelated Collections
With Collections, you can get published faster and increase your visibility.
Climate extremes and water-food systems
Publishing Model: Open Access
Deadline: May 31, 2026
Drought
Publishing Model: Hybrid
Deadline: Jun 30, 2026
Please sign in or register for FREE
If you are a registered user on Research Communities by Springer Nature, please sign in