An Accidental Discovery of Hyperbolic Dispersion in Electrides

A story of an unexpected discovery and the journey behind it. The authors reveal that in many non-cubic electrides, localized electrons in interstitial sites enable hyperbolic dispersion—even when the crystal lacks strong structural anisotropy.

Published in Materials and Physics

Like

Share this post

Choose a social network to share with, or copy the URL to share elsewhere

This is a representation of how your post may appear on social media. The actual post will vary between social networks

 A Modest Beginning

When we started this project, our goal was rather modest. We were simply interested in understanding how beryllium (Be), a simple metal, behaves under high pressure—particularly its thermal and electrical transport properties. As part of this, we tried to account for the effect of electron–electron scattering on electrical conductivity. Almost as a “by-product” of that attempt, we obtained the dielectric function of Be using a more accurate theoretical method.

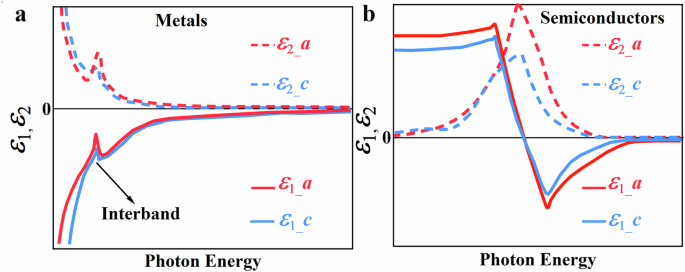
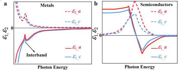
At first glance, the results looked unremarkable. The dielectric function—a property that describes how electrons in a material respond to electromagnetic fields—showed very different behaviors along two crystallographic directions. We did not pay much attention at the time, since differences between directions seemed natural, just like anisotropy in conductivity or thermal conductivity.

An Unexpected Clue

Only much later did we realize something unusual. When we compared Be to magnesium (Mg), which shares the same hexagonal structure, Mg did not show this splitting at all—the dielectric response was nearly identical in both directions. This puzzled us. To dig deeper, we extended the analysis to a wide range of other hexagonal and tetragonal crystals. Surprisingly, none of them exhibited the kind of dielectric behavior that Be did.

Electronic Localization Unlocks Hyperbolicity

It was at this point that we recognized the uniqueness of Be. Its dielectric function was not just “anisotropic”; it was hyperbolic. Hyperbolic dispersion is a fascinating phenomenon in which light waves propagate in a highly unusual way, enabling effects like negative refraction and sub-wavelength imaging. So far, all known natural hyperbolic materials relied on extremely anisotropic crystal structures—typically layered compounds. The idea that a relatively simple, non-layered hexagonal crystal like Be could host such behavior was completely unexpected.   Naturally, we began asking: why Be? Our analysis of electronic structure and localization revealed that the strong tendency of electrons in Be to localize was the key. This electronic localization created the unusual dielectric response that gave rise to hyperbolic dispersion.

Once we made this connection, we looked beyond pure Be. We turned to a class of compounds known as electrides, where electrons themselves play the role of anions and are strongly localized in the crystal lattice. Remarkably, many of these compounds showed the same hyperbolic behavior—even though their crystal structures were not highly anisotropic.

This finding led us to an exciting conclusion: structural anisotropy is not a strict prerequisite for natural hyperbolic dispersion. Instead, strong electronic localization can serve as an alternative route. This broadens the playground for discovering and designing new photonic materials, opening opportunities in optics, plasmonics, and beyond.

Lessons from a Serendipitous Discovery

Looking back, what strikes me most is how accidental this discovery was. Had we not taken a detour into electron–electron scattering, we might never have stumbled upon the dielectric function of Be. And had we not followed a sudden curiosity to compare with Mg, the story might have ended there.

For me, this project reinforced an important lesson: progress in science does not always come from sticking rigidly to a predefined plan. Sometimes, it comes from staying curious, keeping an open mind, and allowing yourself to chase unexpected leads. In our case, that curiosity turned a side calculation into a discovery that could reshape how we think about natural hyperbolic materials.

Please sign in or register for FREE

If you are a registered user on Research Communities by Springer Nature, please sign in

Follow the Topic

Atomic, Molecular and Chemical Physics
Physical Sciences > Physics and Astronomy > Atomic, Molecular and Chemical Physics
Applied and Technical Physics
Physical Sciences > Physics and Astronomy > Applied and Technical Physics
Materials Characterization Technique
Physical Sciences > Materials Science > Materials Characterization Technique

Ask the Editor – Space Physics, Quantum Physics, Atomic, Molecular and Chemical Physics

Got a question for the editor about Space Physics, Quantum Physics, Atomic, Molecular and Chemical Physics? Ask it here!

Continue reading announcement

Related Collections

With Collections, you can get published faster and increase your visibility.

Advances in Quantum Networking: QKD and beyond

Communications Physics invites translational and pioneering work that describes the evolving capabilities in QKD and sets the stage for applications of quantum networking and distributed quantum technologies. Looking beyond the UNESCO International Year of Quantum Technologies, we hope to curate a cross-section of state-of-the-art research that showcases the rapid development of the quantum networking stack and its applications.

Publishing Model: Open Access

Deadline: Apr 30, 2026

Relativistic Astrophysical Plasmas in space and the lab

From particle acceleration near the speed of light to plasma dynamics in the presence of intense electromagnetic fields, this collection highlights the transformative discoveries and innovative techniques pushing the boundaries of modern plasma physics. We aim to showcase new horizons in the study of the fundamental processes that govern high-energy astrophysical phenomena, providing a deeper understanding of the universe and driving progress in relativistic and ultrarelativistic laboratory astrophysics.

Publishing Model: Open Access

Deadline: Jun 30, 2026