Standardizing practices and flux predictions in membrane science via simplified equations and membrane characterization
Published in Protocols & Methods
The study 'Standardizing practices and flux predictions in membrane science via simplified equations and membrane characterization' underscores the critical importance of standardization in membrane development and membrane-based separation processes. To address this need, this study introduces streamlined equations for estimating two pivotal parameters: water flux and observed salt permeability coefficient. Alongside these equations, a comprehensive experimental protocol for characterizing dense membranes' transport properties is presented, with results validated against the proposed equations.
Algebraic water flux equation
The centerpiece of this work is the introduction of an algebraic water flux equation. Unlike the traditional equation that necessitates iterative solutions, this algebraic formulation simplifies the estimation of water flux. This enhances the practicality of predicting water flux under various conditions in the presence of concentration polarization. Moreover, it does so while relying exclusively on bulk parameters, eliminating the need for complex concentration polarization calculations.
In contrast to the traditional approach this study's proposed equations offer a more straightforward and efficient means of estimating the solute transport coefficient. By circumventing the complexities associated with concentration polarization, researchers and engineers can more readily assess and compare membrane performance, making it a valuable tool in the field.

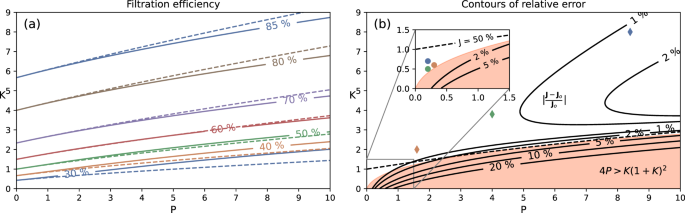
Dimensionless Variables and Process Design
Furthermore, this research introduces dimensionless variables for water flux, driving pressure, and mass transfer, providing a deeper understanding of the interplay between these parameters. Additionally, it defines a filtration efficiency parameter that proves invaluable for process design, allowing for more informed decisions in system optimization.
Conclusion
Overall, this work aligns with ongoing efforts to standardize membrane characterization and promote data accessibility and consistency in the membrane field. The simplified equations and standardized protocols presented here offer substantial benefits, including enhanced comparability between membranes, improved accuracy in performance predictions, and a more profound comprehension of transport phenomena. This, in turn, fosters advancements in membrane technology and facilitates the sharing and interpretation of data, ultimately driving progress in science and membrane development.
Follow the Topic
-
Nature
A weekly international journal publishing the finest peer-reviewed research in all fields of science and technology on the basis of its originality, importance, interdisciplinary interest, timeliness, accessibility, elegance and surprising conclusions.
Please sign in or register for FREE
If you are a registered user on Research Communities by Springer Nature, please sign in