Maximizing the Impact of Land-Based Solutions for U.S. Climate Goals: The Role of Investment in Greenhouse Gas Mitigation

Like

Share this post

Choose a social network to share with, or copy the URL to share elsewhere

This is a representation of how your post may appear on social media. The actual post will vary between social networks

Recent studies suggest that land-based solutions could play a pivotal role in addressing climate change, with the potential to mitigate up to 30% of global carbon emissions through a combination of emissions reduction and carbon sequestration activities. However, realizing this potential requires substantial investment in both the restoration of ecosystems and the adoption of sustainable land management practices. While the environmental benefits are clear, understanding the costs associated with these strategies is equally crucial. Assessing the financial requirements of land-based mitigation efforts not only helps guide effective policy decisions but also advances our understanding of how to scale these solutions to meet ambitious climate targets. In this post, we’ll explore the latest findings on land’s role in emissions reduction and why a comprehensive cost analysis is essential for unlocking its full potential.

As the U.S. strives to meet its ambitious climate targets under the Paris Agreement, the role of the land sector—spanning agriculture, forestry, and land use—has never been more crucial. Agriculture alone accounted for 9.4% of U.S. greenhouse gas emissions in 2022, while land use and forestry activities acted as a net sink, removing approximately 14.5% of emissions. To achieve net-zero emissions by 2050, the U.S. will need to harness the full potential of the land sector, with an estimated 1 gigaton of carbon dioxide equivalent (GtCO2e) per year in net carbon sequestration from land-based activities.

The good news? There’s already momentum in the form of federal policies that have laid the groundwork for these efforts. The Inflation Reduction Act (IRA) alone has allocated over $24 billion for agricultural conservation and more than $3.1 billion for carbon sequestration projects. Additionally, other legislative measures like the Bipartisan Infrastructure Law and the REPLANT Act support reforestation and wildfire management. But while funding is crucial, the key to unlocking the potential of these land-based solutions lies in identifying the most cost-effective investment strategies for greenhouse gas (GHG) mitigation.

This new study titled "US land sector mitigation investments and emissions implications" seeks to do just that. Using an economic model, my co-authors and I have projected the most effective investment strategies for GHG mitigation across a range of land management activities and regions in the U.S. By evaluating various funding scenarios, this analysis offers insights into how best to allocate financial resources to maximize the impact of land-based climate solutions.

Understanding the Costs of Land-Based Mitigation: A Balancing Act

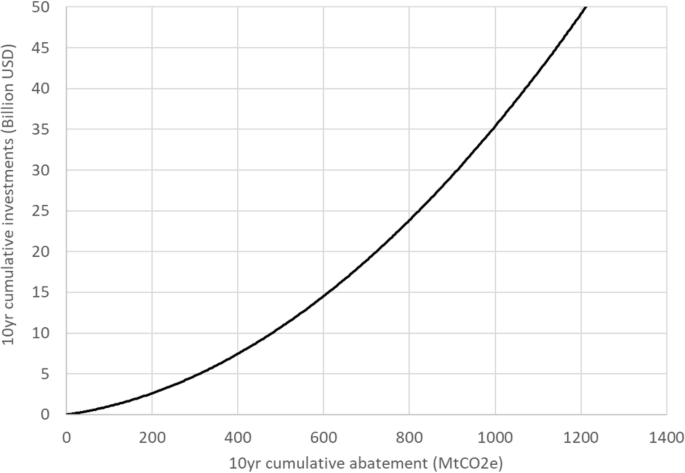
The study evaluates the potential of the land sector to mitigate GHG emissions by comparing a baseline scenario—where current market forces and existing policies drive land use—with various investment scenarios. Without additional policies, emissions from agriculture are projected to increase, while the forestry sector’s ability to act as a carbon sink is expected to decline. The analysis then models 10 different investment scenarios, ranging from $90 million to $18 billion annually, to see how different levels of funding could drive mitigation efforts.

The results are striking: investments below $10 billion could yield approximately 300 MtCO2e of abatement, while investments above $25 billion could result in up to 1,045 MtCO2e of emissions reductions. However, the analysis also shows diminishing returns as investment levels rise. Initially, the forestry sector provides the bulk of emissions reductions, but as lower-cost forestry opportunities are exhausted, agricultural mitigation strategies become more important, particularly in areas where they are the most cost-effective.

Timing and Policy Coordination Matter

The study also highlights the importance of timing in policy implementation. When multiple policies target the same sector, their timing can significantly influence the overall emissions reductions achieved. For example, the analysis examines two hypothetical policies aimed at mitigating emissions in forestry and agriculture: Policy A (with a $3 billion investment) and Policy B (with a $21 billion investment). When implemented together, these policies could lead to about 800 MtCO2e of cumulative abatement over the next decade compared to a baseline scenario with no investments. However, the timing of their implementation affects their contributions. If Policy A is implemented first, it could yield 230 MtCO2e, with Policy B contributing 570 MtCO2e. In contrast, if Policy B is implemented first, it would achieve 745 MtCO2e, with Policy A delivering only 55 MtCO2e (see Figure below).

Why a Comprehensive Approach Is Key

The study also compares scenarios where investments are limited to agriculture only, revealing that this approach would result in 48% less abatement than a more comprehensive strategy that includes both forestry and agriculture. Restricting investments to agriculture would not only reduce mitigation potential but also significantly increase costs, more than doubling the expense needed to achieve the same level of emissions reductions. In contrast, a balanced investment strategy—one that targets both agricultural and forestry solutions—can unlock far greater emissions reductions across different regions of the U.S. Interestingly, this does not apply for all regions where some may benefit more from agriculture-only mitigation, while others may see better results from investments in both.

Implications for U.S. Climate Goals

The findings from this study provide key insight for policymakers, businesses, and other stakeholders looking to maximize the impact of land-based climate solutions. With the right investment strategies, the land sector has the potential to significantly contribute to the U.S.'s climate goals, helping the nation meet its 2050 net-zero target while also creating new economic opportunities in rural and forested areas.

Ultimately, the study demonstrates that to fully leverage the land sector’s mitigation potential, the U.S. must take a comprehensive, well-timed, and strategically balanced approach. Focusing solely on one sector or one type of solution could result in missed opportunities and higher costs. By investing in a mix of forestry and agricultural practices—and ensuring that funding is allocated efficiently—land-based climate strategies can play a pivotal role in reducing emissions and securing a sustainable future.

Please sign in or register for FREE

If you are a registered user on Research Communities by Springer Nature, please sign in

Follow the Topic

Climate Change Mitigation
Physical Sciences > Earth and Environmental Sciences > Environmental Sciences > Environmental Social Sciences > Climate Change Mitigation
SDG 13: Climate Action
Research Communities > Community > Sustainability > UN Sustainable Development Goals (SDG) > SDG 13: Climate Action

Related Collections

With Collections, you can get published faster and increase your visibility.

Healthy Aging

This collection welcomes submissions based on studying preclinical models, as well as population-wide and clinical studies. Studies that advance our understanding of mechanisms behind healthy aging are also welcomed. Clinical research of interest will include epidemiological studies, observational studies, longitudinal cohort studies, systematic reviews and clinical trials.

Publishing Model: Open Access

Deadline: Jun 01, 2026

Women's Health

A selection of recent articles that highlight issues relevant to the treatment of neurological and psychiatric disorders in women.

Publishing Model: Hybrid

Deadline: Ongoing